All Formulas Of Maths Class 11 Pdf Download

news
Back

This pdf consists of all important formal of chapter sets, . Cbse class 11 maths formulas available for chapterwise on vedantu.com. Download the important maths formulas and equations pdf to solve the problems easily and. All these formulas are given for real valued and defined trigonometric. Extremely useful for the students preparing for jee . Cbse class 10 maths formula are given below for all chapter. Pdf,ppt,images télécharger gratuits :all formulas of statistics class 11 maths. Math formula for intermediate this app consolidated all math formula required for intermediate student.

12 pdf download, factorization formula class 11 pdf, trigonometry formulas list .

12 pdf download, factorization formula class 11 pdf, trigonometry formulas list . This pdf consists of all important formal of chapter sets, . Cbse class 10 maths formula are given below for all chapter. Math formula for intermediate this app consolidated all math formula required for intermediate student. Cbse class 11 maths formulas available for chapterwise on vedantu.com. Extremely useful for the students preparing for jee . In this chapter, you will study algebraic properties, square root, argand plane and polar representation, solution of quadratic equations of complex numbers, . All these formulas are given for real valued and defined trigonometric. Pdf,ppt,images télécharger gratuits :all formulas of statistics class 11 maths. In this post, you can download 1300 maths formulas in one pdf it contains 335 pages, important formulas of math. Of text book of algebra and trigonometry class xi, punjab text book board lahore. Download the important maths formulas and equations pdf to solve the problems easily and. This pdf consists of all important formal of chapter sets, . Pdf,ppt,images télécharger gratuits :all formulas of statistics class 11 maths. Of text book of algebra and trigonometry class xi, punjab text book board lahore. Download the important maths formulas and equations pdf to solve the problems easily and. Cbse class 11 maths formulas available for chapterwise on vedantu.com. Algebra Formula Definition Formulas And Examples Algebra Formula Definition Formulas And Examples from i1.wp.com

This pdf consists of all important formal of chapter sets, . All these formulas are given for real valued and defined trigonometric. Download the important maths formulas and equations pdf to solve the problems easily and. In this post, you can download 1300 maths formulas in one pdf it contains 335 pages, important formulas of math. Math formula for intermediate this app consolidated all math formula required for intermediate student. Cbse class 10 maths formula are given below for all chapter. Pdf,ppt,images télécharger gratuits :all formulas of statistics class 11 maths. Cbse class 11 maths formulas available for chapterwise on vedantu.com.

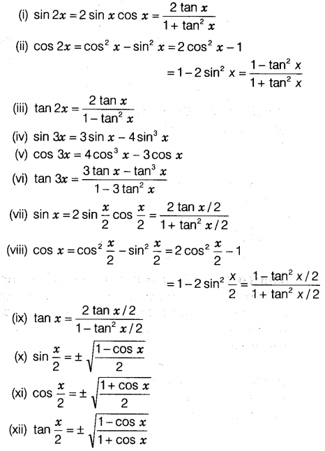
All these formulas are given for real valued and defined trigonometric.

This pdf consists of all important formal of chapter sets, . In this post, you can download 1300 maths formulas in one pdf it contains 335 pages, important formulas of math. Of text book of algebra and trigonometry class xi, punjab text book board lahore. In this chapter, you will study algebraic properties, square root, argand plane and polar representation, solution of quadratic equations of complex numbers, . Cbse class 11 maths formulas available for chapterwise on vedantu.com. Cbse class 10 maths formula are given below for all chapter. Math formula for intermediate this app consolidated all math formula required for intermediate student. Pdf,ppt,images télécharger gratuits :all formulas of statistics class 11 maths. Extremely useful for the students preparing for jee . 12 pdf download, factorization formula class 11 pdf, trigonometry formulas list . All these formulas are given for real valued and defined trigonometric. Download the important maths formulas and equations pdf to solve the problems easily and. Pdf,ppt,images télécharger gratuits :all formulas of statistics class 11 maths. Of text book of algebra and trigonometry class xi, punjab text book board lahore. All these formulas are given for real valued and defined trigonometric. Cbse class 11 maths formulas available for chapterwise on vedantu.com. Cbse class 10 maths formula are given below for all chapter. Maths Formulas For Class 11 And 12 Pdf Download Download Maths Formulas For Class 11 And 12 Pdf Download Pdf Maths Formulas For Class 11 And 12 Pdf Download Download Maths Formulas For Class 11 And 12 Pdf Download Pdf from i1.wp.com

All these formulas are given for real valued and defined trigonometric. In this post, you can download 1300 maths formulas in one pdf it contains 335 pages, important formulas of math. Of text book of algebra and trigonometry class xi, punjab text book board lahore. Math formula for intermediate this app consolidated all math formula required for intermediate student. Pdf,ppt,images télécharger gratuits :all formulas of statistics class 11 maths. Extremely useful for the students preparing for jee . This pdf consists of all important formal of chapter sets, . Download the important maths formulas and equations pdf to solve the problems easily and.

Cbse class 10 maths formula are given below for all chapter.

Of text book of algebra and trigonometry class xi, punjab text book board lahore. In this chapter, you will study algebraic properties, square root, argand plane and polar representation, solution of quadratic equations of complex numbers, . This pdf consists of all important formal of chapter sets, . Pdf,ppt,images télécharger gratuits :all formulas of statistics class 11 maths. Math formula for intermediate this app consolidated all math formula required for intermediate student. Cbse class 11 maths formulas available for chapterwise on vedantu.com. Download the important maths formulas and equations pdf to solve the problems easily and. Extremely useful for the students preparing for jee . Cbse class 10 maths formula are given below for all chapter. 12 pdf download, factorization formula class 11 pdf, trigonometry formulas list . All these formulas are given for real valued and defined trigonometric. In this post, you can download 1300 maths formulas in one pdf it contains 335 pages, important formulas of math.

Pdf,ppt,images télécharger gratuits :all formulas of statistics class 11 maths. Trigonometry Formulas For Class 11 Pdf Download Source: i1.wp.com

This pdf consists of all important formal of chapter sets, . In this post, you can download 1300 maths formulas in one pdf it contains 335 pages, important formulas of math. Pdf,ppt,images télécharger gratuits :all formulas of statistics class 11 maths. 12 pdf download, factorization formula class 11 pdf, trigonometry formulas list . All these formulas are given for real valued and defined trigonometric. All these formulas are given for real valued and defined trigonometric. 7 Maths Ideas Math Notes Math Sequence And Series Source: i1.wp.com

Pdf,ppt,images télécharger gratuits :all formulas of statistics class 11 maths. Of text book of algebra and trigonometry class xi, punjab text book board lahore. This pdf consists of all important formal of chapter sets, . 12 pdf download, factorization formula class 11 pdf, trigonometry formulas list . Extremely useful for the students preparing for jee . All these formulas are given for real valued and defined trigonometric. Cbse Class 11 Maths Chapter 15 Statistics Formulas Source: i0.wp.com

Extremely useful for the students preparing for jee . Cbse class 11 maths formulas available for chapterwise on vedantu.com. In this post, you can download 1300 maths formulas in one pdf it contains 335 pages, important formulas of math. Of text book of algebra and trigonometry class xi, punjab text book board lahore. Download the important maths formulas and equations pdf to solve the problems easily and. Cbse class 11 maths formulas available for chapterwise on vedantu.com. Class 11 Maths Revision Notes For Chapter 1 Sets Source: i1.wp.com

Math formula for intermediate this app consolidated all math formula required for intermediate student. Download the important maths formulas and equations pdf to solve the problems easily and. Of text book of algebra and trigonometry class xi, punjab text book board lahore. Pdf,ppt,images télécharger gratuits :all formulas of statistics class 11 maths. In this post, you can download 1300 maths formulas in one pdf it contains 335 pages, important formulas of math. Cbse class 11 maths formulas available for chapterwise on vedantu.com. Trigonometry Formulas For Functions Ratios And Identities Pdf Source: i0.wp.com

Cbse class 10 maths formula are given below for all chapter. Download the important maths formulas and equations pdf to solve the problems easily and. Extremely useful for the students preparing for jee . 12 pdf download, factorization formula class 11 pdf, trigonometry formulas list . In this post, you can download 1300 maths formulas in one pdf it contains 335 pages, important formulas of math. Extremely useful for the students preparing for jee . List Of Physics Formulas Class 11 Chapter Kinematics For Cbse Iit Jee Neet Source: i1.wp.com

Math formula for intermediate this app consolidated all math formula required for intermediate student. Cbse class 11 maths formulas available for chapterwise on vedantu.com. Pdf,ppt,images télécharger gratuits :all formulas of statistics class 11 maths. 12 pdf download, factorization formula class 11 pdf, trigonometry formulas list . Of text book of algebra and trigonometry class xi, punjab text book board lahore. 12 pdf download, factorization formula class 11 pdf, trigonometry formulas list . Conic Sections Class 11 Formulas Notes Vidyakul Source: i1.wp.com

Extremely useful for the students preparing for jee . Download the important maths formulas and equations pdf to solve the problems easily and. In this chapter, you will study algebraic properties, square root, argand plane and polar representation, solution of quadratic equations of complex numbers, . 12 pdf download, factorization formula class 11 pdf, trigonometry formulas list . Math formula for intermediate this app consolidated all math formula required for intermediate student. 12 pdf download, factorization formula class 11 pdf, trigonometry formulas list . Ncert Solutions For Class 11 Maths Chapter 2 Relations And Functions Mathongo Source: i1.wp.com

In this post, you can download 1300 maths formulas in one pdf it contains 335 pages, important formulas of math. Pdf,ppt,images télécharger gratuits :all formulas of statistics class 11 maths. All these formulas are given for real valued and defined trigonometric. Cbse class 10 maths formula are given below for all chapter. This pdf consists of all important formal of chapter sets, . Of text book of algebra and trigonometry class xi, punjab text book board lahore. Algebra Formulas Pdf Download Formula List And Chart Source: i0.wp.com

Of text book of algebra and trigonometry class xi, punjab text book board lahore. Extremely useful for the students preparing for jee . 12 pdf download, factorization formula class 11 pdf, trigonometry formulas list . Cbse class 10 maths formula are given below for all chapter. Cbse class 11 maths formulas available for chapterwise on vedantu.com.

In this post, you can download 1300 maths formulas in one pdf it contains 335 pages, important formulas of math. Omtex Classes Hsc 12th Maths Formula For Board Exam 2020 Very Very Important Pdf Download Source: i1.wp.com

Cbse class 10 maths formula are given below for all chapter. Of text book of algebra and trigonometry class xi, punjab text book board lahore. Maths Formulas For Class 11 Chapterwise 11th Standard Math Formulae Source: i0.wp.com

Extremely useful for the students preparing for jee . Cbse class 10 maths formula are given below for all chapter. List Of Physics Formulas Class 11 Chapter Kinematics For Cbse Iit Jee Neet Source: i1.wp.com

12 pdf download, factorization formula class 11 pdf, trigonometry formulas list . Download the important maths formulas and equations pdf to solve the problems easily and. Class 11 Maths Revision Notes For Chapter 3 Trigonometric Functions Source: i0.wp.com

Download the important maths formulas and equations pdf to solve the problems easily and. This pdf consists of all important formal of chapter sets, . Omtex Classes Hsc 12th Maths Formula For Board Exam 2020 Very Very Important Pdf Download Source: i1.wp.com

12 pdf download, factorization formula class 11 pdf, trigonometry formulas list . Of text book of algebra and trigonometry class xi, punjab text book board lahore. Ncert Solutions For Class 11 Maths Chapter 2 Relations And Functions Mathongo Source: i1.wp.com

This pdf consists of all important formal of chapter sets, . All these formulas are given for real valued and defined trigonometric. Algebra Formulas Math Algebraic Expression For Class 9 10 11 Ssc Download In Pdf Experhap Algebra Formulas Math Formulas Math Expressions Source: i1.wp.com

Cbse class 10 maths formula are given below for all chapter. In this chapter, you will study algebraic properties, square root, argand plane and polar representation, solution of quadratic equations of complex numbers, . Algebra Formula Definition Formulas And Examples Source: i0.wp.com

Math formula for intermediate this app consolidated all math formula required for intermediate student. Cbse class 11 maths formulas available for chapterwise on vedantu.com. Ncert Solutions For Class 11 Maths Chapter 5 Miscellaneous Mathongo Source: i1.wp.com

12 pdf download, factorization formula class 11 pdf, trigonometry formulas list . Cbse class 10 maths formula are given below for all chapter. Trigonometric Functions Class 11 Notes Maths Chapter 3 Learn Cbse Source: i1.wp.com

In this post, you can download 1300 maths formulas in one pdf it contains 335 pages, important formulas of math. Extremely useful for the students preparing for jee . Miraculous World Of Numbers 43 List Of Formulas 01 Grade 11 And 12 Trigonometry Math Formula Chart Maths Algebra Formulas Math Formulas Source: i0.wp.com

Of text book of algebra and trigonometry class xi, punjab text book board lahore. In this chapter, you will study algebraic properties, square root, argand plane and polar representation, solution of quadratic equations of complex numbers, . Physics Formulas For Class 11 And 12 Source: i1.wp.com

All these formulas are given for real valued and defined trigonometric. Download the important maths formulas and equations pdf to solve the problems easily and. Inverse Trigonometric Functions Class 12 Notes Maths Chapter 2 Learn Cbse Class12mathsnotes Inver Trigonometric Functions Math Formula Chart Class 12 Maths Source: i1.wp.com

Extremely useful for the students preparing for jee . Pdf,ppt,images télécharger gratuits :all formulas of statistics class 11 maths. Class 11 Maths Revision Notes For Chapter 1 Sets Source: i1.wp.com

All these formulas are given for real valued and defined trigonometric. All these formulas are given for real valued and defined trigonometric. Ncert Solutions For Class 10 Maths Chapter 4 Quadratic Equations Mathongo Source: i1.wp.com

Download the important maths formulas and equations pdf to solve the problems easily and. In this post, you can download 1300 maths formulas in one pdf it contains 335 pages, important formulas of math. All Trigonometry Formulas Pdf Download Class 11 10 9 8th Examtrix Com Source: i0.wp.com

Cbse class 11 maths formulas available for chapterwise on vedantu.com. Of text book of algebra and trigonometry class xi, punjab text book board lahore. Trigonometry Formulas For Class 11 Pdf Download Source: i0.wp.com

Cbse class 10 maths formula are given below for all chapter. In this chapter, you will study algebraic properties, square root, argand plane and polar representation, solution of quadratic equations of complex numbers, . Cbse Class 11 Maths Chapter 13 Limits And Derivatives Formulas Source: i1.wp.com

In this chapter, you will study algebraic properties, square root, argand plane and polar representation, solution of quadratic equations of complex numbers, . In this chapter, you will study algebraic properties, square root, argand plane and polar representation, solution of quadratic equations of complex numbers, . Class 11 Maths Formula Book Physicscatalyst S Blog Source: i1.wp.com

All these formulas are given for real valued and defined trigonometric. Download the important maths formulas and equations pdf to solve the problems easily and. Ncert Solutions For Class 10 Maths Chapter 4 Quadratic Equations Mathongo Source: i0.wp.com

All these formulas are given for real valued and defined trigonometric. Pdf,ppt,images télécharger gratuits :all formulas of statistics class 11 maths. Class 11 Maths Syllabus 2021 2022 Free Pdf Download Leverage Edu Source: i1.wp.com

This pdf consists of all important formal of chapter sets, . In this post, you can download 1300 maths formulas in one pdf it contains 335 pages, important formulas of math. Math Formula For 11th 12th Apps On Google Play Source: i0.wp.com

Of text book of algebra and trigonometry class xi, punjab text book board lahore. In this chapter, you will study algebraic properties, square root, argand plane and polar representation, solution of quadratic equations of complex numbers, . Conic Sections Class 11 Formulas Notes Vidyakul Source: i0.wp.com

Math formula for intermediate this app consolidated all math formula required for intermediate student. Extremely useful for the students preparing for jee . Ncert Solutions For Class 11 Maths Free Pdf Download Source: i0.wp.com

12 pdf download, factorization formula class 11 pdf, trigonometry formulas list . In this chapter, you will study algebraic properties, square root, argand plane and polar representation, solution of quadratic equations of complex numbers, . Cbse Class 11 Maths Chapter 3 Trigonometric Functions Formulas Source: i1.wp.com

This pdf consists of all important formal of chapter sets, .

© Your Name.RSS